当前位置: 首页 > 新闻中心 > 最新公告

关于公示山东省2021年第二批拟入库科技型中小企业名单的通知

时间:2021-03-24 22:28来源:未知 作者:烟台思创 点击: 793 次

各有关单位:

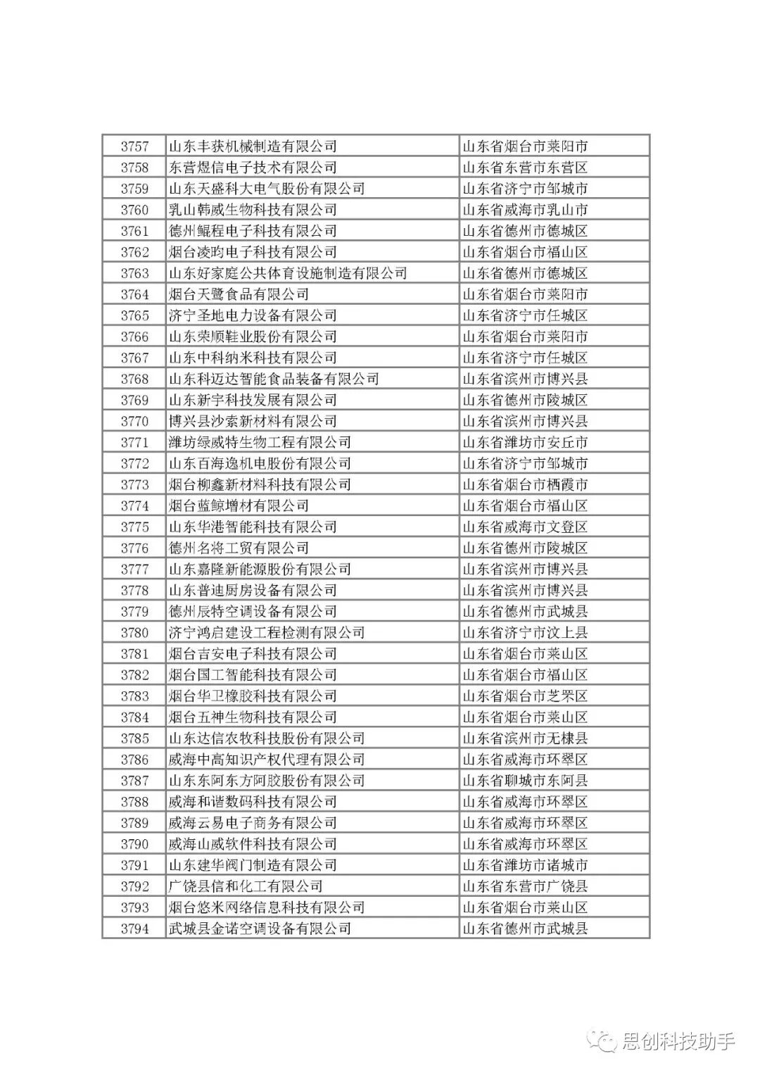
根据《科技型中小企业评价办法》(国科发政〔2017〕115号)和省科技厅《关于开展2021年山东省科技型中小企业评价工作的通知》等文件有关规定,经企业自评、省市科技部门审查,确定了山东省2021年第二批4219家拟入库科技型中小企业名单(详见附件),现予以公示,公示期10个工作日。

如有异议,请于公示期内提交书面材料,个人提交材料请署明真实姓名和联系方式,单位提交材料请加盖所在单位公章,逾期不予受理。

联系电话:0531-66777377

联系地址:济南市高新区舜华路607号省科技服务发展推进中心(邮编:250101)


山东省科学技术厅

2021年3月23日

图片

图片

图片

图片

图片

图片

图片

图片

图片

图片

图片

图片

图片

图片

图片

图片

图片

图片

图片

图片

图片

图片

图片

图片

图片

图片

图片

图片

图片

图片

图片

图片

图片

图片

图片

图片

图片

图片

图片

图片

图片

图片

图片

图片

图片

图片

图片

图片

图片

图片

图片

图片

图片

图片

图片

图片

图片

图片

图片

图片


图片

图片

图片

图片

图片

图片

图片

图片

图片

图片

图片

图片

图片

图片

图片

图片

图片

图片

图片

图片

图片

图片

图片

图片

图片

图片

图片

图片

图片

图片

图片

图片

图片

图片

图片

图片

图片

图片

图片

图片

(来源:山东省科技厅)

烟台思创企业信息咨询有限公司

全心全意帮企业解读和享受政策扶持

高新技术企业认定、科技项目申报

研究开发费用加计扣除

双评估认定、创新平台认定

知识产权代理及融资上市等其它政府荣誉及资金策划

如咨询业务,请给小编留言或致电:

电话:0535-2100186 13455561791 18553567508

地址:烟台市莱山区悦海中心B座

网址:http://www.ytstrong.com/

(免责声明:①我们所获取的信息全部来自正规公开渠道(比如政府部门网站)②我们从不对文章进行二次加工③版权归原创者所有,如有版权问题请作者尽快告知我们,我们将尽快删除相关内容!)







政策法规

招贤纳士

联系我们
  • 手机:13455561791
  • 电话:0535-2100186
  • 邮箱:ytsczx@126.com
  • 地址:烟台市莱山区鲁商悦海中心B座